第一章 培养基及灭菌
P1培养基是指供特定的微生物、动物细胞、植物细胞、细胞组织、微藻生物等进行生长、繁殖、代谢和合成产物需要的,按一定组成比例配制而成的营养物质。
P1培养基按其配方成分可以分成天然培养基和合成培养基。
P1天然培养基是指一类具体成分不十分明确的产品,大部分是农副产品。
P1合成培养基是指一类完全明确的化学成分的物质配制组成。
P1微生物培养基按其用途分为孢子培养基(不产孢子的称斜面培养基)、种子培养基和发酵培养基三种。
P1一般来说,孢子培养基中的碳源和氮源(特别是有机氮源)的浓度要低,多了会只长菌丝,少长或不长孢子。
P1抗生素生产上常用的孢子培养基有麸皮培养基、小米培养基、大米培养基和用葡萄糖、蛋白胨、牛肉膏及氯化钠配制成的琼脂斜面培养基。
P1孢子培养基灭菌方法:放在高压灭菌锅内,121℃,灭菌20~30min。
P1种子培养基是指用于摇瓶种子培养或工业生产用的种子罐种子培养的营养组成。
P2抗生素工业生产的发酵培养基应有利于菌丝体的快速生长繁殖。
P3动物细胞培养基可以分为三类:天然培养基、合成培养基和无血清培养基。
P3在大规模动物细胞培养时一般采用合成培养基(有时加入少量胎牛血清或小牛血清)和无血清培养基。
P3通常采用微孔滤膜过滤灭菌法来处理动物细胞培养基,保证培养基无菌。
P3植物细胞培养基组分由无机盐类、碳源、维生素、植物生长激素、有机氮源、有机酸和一些复合物质组成。
P3微藻类培养基用自然海水或者人工海水配制。
P3大规模微藻工业化生产中,由于培养基中NaCl的浓度在12%~25%可抑制其他微生物生长,其培养基不需要绝对无菌。
P3常用的灭菌方法:化学灭菌、射线灭菌、干热灭菌、湿热灭菌、过滤灭菌。
P4常用的化学试剂有甲醛、新洁尔灭、漂白粉、环氧乙烷等。甲醛通常用作为无菌室定期熏蒸灭菌。新洁尔灭溶液常作为培养室内桌椅地板、实验用具最有效的杀菌剂。漂白粉水溶液可作为车间内外环境的杀菌剂,对于塑料培养器皿可采用环氧乙烷灭菌。
P4射线灭菌通常用紫外线、高能量的电磁波或粒子辐射进行灭菌。
P4干热灭菌常采用160℃,保温1~2h的灭菌方法。
P4用蒸汽直接把物料升温到115~140℃,保持一定时间,即可以杀死各种微生物。
P4微生物发酵培养基常采用湿热灭菌,条件是121℃,20~30min。
P4过滤灭菌指利用微孔 0.22μm 滤膜过滤截留微生物的方法。
P4将培养基配制在发酵罐里,用饱和蒸汽直接加热,以达到预定灭菌温度并保温维持一段时间,然后再冷却到发酵温度,这种灭菌过程称作培养基实罐灭菌或称培养基分批灭菌(工厂里称实消)。
P4大型发酵罐若采用实罐灭菌工艺最佳的办法是采用变频调速电机。
P6培养基实罐灭菌时间的计算依据的是对数残留定律。
P6培养基实罐灭菌时间的计算中,一般都以培养基中最难杀灭的一种耐热杆菌的芽孢作为灭菌对象。一般为2×10^7个。灭菌失败的概率通常定为 0.001(灭菌后残留芽孢数为 0.001 个)。
P6在工业化发酵生产中通常不考虑培养基由室温升至121℃和由121℃冷却到发酵培养温度这两个阶段的灭菌效应,只是把保温维持阶段看作是培养基实罐灭菌的时间。
P7目前发酵工业采用培养基实罐灭菌的发酵罐体积越来越大,这样培养基的加热升温阶段时间很长,为了不使培养基受热时间过长,营养成分破坏过多,应该要考虑加热升温阶段的灭菌效应。
P7在灭菌操作时不要人为地再延长灭菌时间作为安全系数,这样会导致培养基营养成分破坏过大,导致发酵单位下降。
P7发酵车间蒸汽用量的计算,其方法应该分别计算出发酵车间每个使用蒸汽设备的蒸汽消耗量,然后把在同一个时刻不能错开的用汽设备叠加起来求得这个车间的最大用蒸汽负荷量。
P7在发酵车间,培养基实罐灭菌用汽量最大,实罐灭菌可以分成升温、保温灭菌和冷却三个阶段。
P7培养基的间接加热是不稳定传热过程。
P7培养基冷却阶段,发酵罐应先引入灭菌空气,然后再开夹套或蛇管的冷却水,以免发酵罐“跌零磅”和避免带夹套的不锈钢发酵罐体被吸瘪变形。
P10培养基连续灭菌工艺是把发酵罐预先灭菌好,将培养基在发酵罐外采用高效设备连续不断地进行加热,保温灭菌和冷却,然后连续进入已灭菌好的发酵罐里。这种培养基灭菌方法称作连续灭菌,工厂里也称连消。
P11目前微生物发酵企业中一般都采用0.5~0.8MPa(表压)的蒸汽与预热后的培养基直接混合加热。目前加热器使用得最广泛的加热器有塔式加热器和喷射式加热器。
P11塔式加热器的中央是蒸汽导入管,管壁上开有小孔,孔数按小孔的总面积等于或略小于蒸汽导入管的截面积。小孔在导入管上的分布是上稀下密。
P11塔式加热器的有效高度为2~3m,物料在塔中停留加热时间为20~30s。
P11喷射式加热器扩大端顶端上方设置一块弧形挡板,目的是增强蒸汽与料液的混合加热效果。
P11喷射式加热器中,喷嘴的设计是关键,多喷嘴要比单喷嘴的换热效果好,但喷嘴直径太小会引起堵塞,一般应大于10mm。
P13为使高温的培养基在维持设备(或称保温设备)中保温停留一定的时间,要求该设备内物料返混要小,外壁要用保温材料进行保温。
P13若无返混,培养基在维持罐中的停留时间就是连续灭菌工艺要求的保温时间或称灭菌时间。由于容器直径较大,培养基在容器内的流速又较小,返混现象是不可克服的,实际停留时间时应把理论灭菌保温时间乘上3~5倍。维持罐的高径比取2.0~2.5较适合。
P13若要克服维持设备中物料的返混现象,可采用管式维持器,培养基在管式维持器中的流速可取 0.3~0.6m/s。
P13维持罐一般取 H/D=2.0~2.5 最佳。
P17喷淋冷却器中,为了增加传热推动力,高温培养基应由底端进,上端出。
P18如使用螺旋板换热器,由于微生物发酵培养基中固体含量较高,为了防止螺旋板换热器通道的堵塞,要求选用板间距在5~18mm的换热器。
第二章空气预处理及除菌
P19为了降低空气的相对湿度,往往采用适当加热压缩空气的方法。一般控制进发酵罐压缩空气的温度比发酵温度高出10℃左右。
P19由于目前发酵工厂的空气总过滤器的过滤介质采用的是纤维素纸、PP毡或者棉花等,这些过滤介质受潮后过滤效果会大大下降,因此将进入总过滤器的压缩空气的相对湿度控制在60%~70%。
P20为了保证总过滤器内的过滤介质的干燥,因此在进入总过滤器之前要把压缩空气中夹带的水滴、油滴除去。油滴是来自空气压缩机活塞环的润滑油被空气带出来的。
P20压缩空气在进入空气总过滤器之前一定要经过降温、除水、除油的预处理。
P20从压缩机输出的高温压缩空气必须进行适当冷却,再进入总过滤器进行除菌处理。
P20空气冷却设备现都采用多程列管式换热器,冷却水走管程,空气走壳程。
P21空气中的相对湿度随地理、季节而变化,在设计时一般都采取最湿月相对湿度平均值作为设计参数。
P21若空气的湿含量x及温度t不变,空气的压强愈大相对湿度φ也愈大。
P22进入总过滤器前的压缩空气要加热,控制相对湿度在60%~70%左右。
P22如要求吸入空气压缩机的空气其含尘量<1mg/m^3。除了要求空气压缩机车间要建在厂区的上风向外,还要求吸风塔的高度>10m。因为吸风口越靠近地面,尘埃越多。
P23吸风塔是一个类似烟筒的圆柱形钢结构设备,为了防止雨水灌入,顶部设计有防雨罩。一般空气在吸风塔内的截面流速设计在≤8m/s。
P23有的工厂因条件限制不能单独建吸风塔,也可以利用空气压缩机车间厂房的高度,在其屋顶上建一个吸风室。并且在吸风室内设计一个聚氨酯泡沫塑料介质粗过滤器。能保证吸风高度在10m以上。气速应设计在≤0.5m/s左右。
P23往复式空气压缩机是靠活塞在汽缸内往复运动将空气抽吸和压出。因此出口空气压强是不稳定的,存在脉动状况。
P24涡轮式空气压缩机是由电动机带动或用蒸汽涡轮机带动,靠涡轮高速旋转时所产生的空穴现象吸入空气,并使其获得较高的离心力,再通过固定的导轮和涡轮型机壳使动能转变为静压后输出。
P24螺杆式空气压缩机是利用高速旋转的螺杆在汽缸里瞬时组成空腔并因螺杆的运动把腔间内空气压缩后输出。
P24一般在发酵工厂的空气压缩机车间处都设有压缩空气贮罐,该压缩空气贮罐在生产工艺上起到两个作用:其一是稳定压强消除空气的脉动;其二是让高温的空气在贮罐里停留一定的时间,起到空气的部分杀菌作用。
P24发酵工厂的空气压缩机车间处都设有压缩空气贮罐,根据经验估算,贮罐容积可取V=10%~15%的空压机每分钟的吸气量(m^3)。
P24压缩空气的预处理系统中,空气冷却器作用是使压缩空气除水减湿。冷却设备通常采用双程或多程列管式换热器,冷却水走管程,压缩空气走壳程,为提高换热器的传热系数应在壳程安装圆缺型折流板。
P25空气的预处理系统中,初级分离水滴设备采用旋风分离器,其对10μm直径的水滴除去效率在60%~70%;若要除去2~5um大小的水滴或油滴就要采用金属丝网除沫器。
P25目前在发酵工厂都采用旋风分离器作为粗除水器,在其后再安装金属丝网除沫器作为精细除水器。
P25为使旋风分离器处于良好工作状态,在其底部安装浮杯式疏水器或定时自动疏水器或定时人工疏水。不能使其底部的阀门常开,这样会降低旋风分离器的除水效果。进口气速一般取Wg=15~25m/s。
P26旋风分离器直径不宜过大,直径超过800mm时,可以采用多个旋风分离器并联使用。
P26旋风分离器的压降很小,大约在120~250mmH20左右。
P26丝网除沫器工作原理是当夹带水滴或油滴的气体穿过金属丝网层时,水滴或油滴被拦截在金属丝网层上,液滴慢慢变大,其重力大于水滴在金属丝网表面的吸附力和浮力时,水滴就会自然滴下来。
P26丝网除沫器的金属丝网国内发酵工厂常采用0.1mm×0.4mm涂锌金属扁丝,或者用不锈钢扁丝。
P27除水以后的压缩空气降湿度,通常的方法是采用换热器来加热压缩空气达到降湿的要求。空气加热器一般采用列管式换热器,空气走管程,蒸汽走壳程。在中小型发酵企业,也有采用套管换热器。
P27为了避免温度过高的空气进入发酵罐,促使微生物最佳生长环境的波动,要控制进入发酵罐的空气温度最好不要超过微生物培养温度+10℃。
P27工业化微生物发酵生产工艺对空气除菌设备的要求是除菌效率高、压降小、能耐蒸汽多次灭菌、检修方便、使用成本低。
P27YUD型空气总过滤器,过滤介质采用涂层式过滤材料组装的滤芯,常用的滤心是DMF(聚四氟乙烯聚合膜)或者DGF(玻璃纤维复合毡)。滤芯在使用过程中会被逐渐堵塞,阻力逐渐变大,当进出口空气压差增大到0.05MPa时可以考虑更换滤芯或进行再生滤芯。
P28耐高温高分子微孔膜材特点是:①滤膜天然疏水性,干燥、潮湿条件下均能保证绝对过滤要求;②多褶膜堆,过滤面积大,气体通量大,过滤压降小;③耐高温,可反复蒸汽灭菌;④抗张强度高,可耐气流冲击。
P30在日常运行时压缩空气先经过YUD型空气预过滤器,除去空气管道中的铁锈微粒。
P30定期灭菌时,蒸汽先经过JLS-F型蒸汽过滤器,除去蒸汽中夹带的铁锈水,以防止JPF型微孔膜滤芯堵塞。
第三章 生物反应器与发酵参数检测元件
P33生物反应器是指大规模培养微生物、动物细胞、植物细胞获得其代谢产物或生物体的设备。是工业化大规模细胞培养过程唯一的一个把原料转化成产物的装备。
P33通常将进行大规模悬浮培养微生物的反应器统称为发酵罐。
P33目前,常用的好氧发酵罐按照能量输入的方式可分为机械搅拌式、气升式和外部液体循坏式三大类。其中机械搅拌通气发酵罐占主导地位。
P33机械搅拌型发酵罐大致可分成通气搅拌式发酵罐(也称通用式发酵罐)、伍式(Wood hof)发酵罐、机械搅拌自吸式发酵罐。
P33外部液体循环式发酵罐罐型有塔式和罐式两种,有的发酵罐在液体入口处装有文丘里管。
P34气升式发酵罐是由压缩空气由喷嘴喷出,推动培养液沿导流筒上升,由内向外或由外向内循环流动,实现混合与传质。
P34气升式发酵罐可用于单细胞蛋白的培养或深井曝气进行污水处理。
P34内部循环气升式发酵罐,罐内设有导流筒或隔板,其工作原理是把无菌空气通过喷嘴或环形空气分布器喷射进入发酵液中,通过气-液混合物的湍流作用而使空气气泡分割破碎,同时由于富气区的发酵液因密度低而向上运动,同时因气含率小的发酵液密度大而下沉,形成循环流动,实现混合与传质。
P34目前世界上最大型的单细胞蛋白深层培养就是气升环流式发酵罐,体积可高达3000多立方米。
P34通用式发酵罐的几何尺寸、比例关系如下:H/D=1.7~3;d/D=1/2~1/3;W/D=1/8~1/12;B/d=0.8~1.0;S/d=1.5~2.5;S1/d=1~2。
P36在抗生素工业中,种子罐采用 H/D=1.7~2.0;发酵罐 H/D=2.0~2.5,常用H/D=2.0。
P36实践证明H/D的取值与发酵菌种有关,如青霉素:H/D=1.8 为宜;放线菌:H/D≤2;细菌:H/D>2。
P36取高径比较大的细长罐可增加空气气泡在发酵液中的停留时间及溶氧的浓度。
P36一般来讲,发酵罐的“公称容积”Vo是指筒身容积 Vc加上底封头容积 Vb 之和。
P36一般装料系数 μ0=V/V0=0.6~0.75。
P36通用式发酵罐是密闭受压设备,主要部件有罐体、搅拌装置、消泡器、轴封、传动装置、传热装置、挡板、人孔、视镜、通气装置、进出料管、取样管等。
P37通用式发酵罐中搅拌的作用可概括为两点:一是产生强大的总体流动,将流体均匀分布于容器各处,以达到宏观均匀;二是产生强烈的湍动,使液体、气体、固体微团尺寸减小。
P37常用搅拌器的形式有旋桨式、桨式、涡轮式、框式和锚式。
P37通用式发酵罐为了有较高的溶解氧,使进入罐内的气体分散归属于小尺度的混合,因此其搅拌器广泛采用涡轮式搅拌器。
P37旋桨式搅拌器使液体作轴向和切向运动,称之为轴向流型,它具有循环量大、压头低的特点。
P37在相同的搅拌功率下比较不同搅拌器粉碎气泡的能力:半圆叶型搅拌器、平叶型搅拌器大于弯叶型搅拌器;弯叶型搅拌器大于箭叶型搅拌器和斜叶型搅拌器。但其翻动流体的能力则与上述情况相反。
P37径向流型的涡轮搅拌器能产生很大的剪切力,有利于破碎气泡。但过大的剪切力不利于微生物的生长,这是一对矛盾。
P37轴流型搅拌器则具有如下特点:流量大,气、固、液三相混合均匀程度高,为发酵提供了良好的环境。
P38较早使用的径向流涡轮搅拌器有六平叶圆盘涡轮搅拌桨,其叶片宽与叶轮直径比为0.2,圆盘直径为叶轮直径的2/3。高通气率时这种叶轮易使搅拌器空载产生气泛。
P38高效轴流叶轮桨即机翼式叶轮桨,在流动控制应用中有极好的搅拌混合效果,但气体分散效果非常差。
P38根据工艺需要,目前抗生素生产企业都采用在同一搅拌轴上安装不同叶形的搅拌器。
P38为了达到一定的混合效果,搅拌必须要提供足够大的翻动流量 Q 和动压头 H。所以罐内单位体积液体的功率消耗也就成为间接判断搅拌过程优劣的重要判据。
P39如果搅拌的目的只是为了达到宏观混合,则希望有较大的翻动流量和较小的动压头;如果目的是为了快速地分散成微小液团,则应有较小的流量和较大的动压头。
P39搅拌器的轴功率P等于搅拌器施加于液体的力F及由此而引起的液体平均流速ω之积。
P39大型发酵罐,也可采用下伸轴,罐顶空间可充分用来安装高效的机械消沫器及具他自控部件。
P39当采用下伸轴时,对轴封的要求更为严格,一般上伸轴可用机械单端面轴封,而下伸轴要采取双端面轴封,轴封要设计可用蒸汽灭菌和用无菌空气保压防漏及冷却。
P40罐内带有挡板的搅拌流型,液体遇到挡板后形成向上、向下两部分垂直方向运动。
P40搅拌罐内加置挡板以达到全挡板条件为宜。
P40所谓“全挡板条件”是指罐内加了挡板使旋涡基本消失,或者说是指达到消除液面旋涡的最低挡板条件。
P40在一般发酵罐中安装 4 块挡板,挡板宽度为(1/12~1/8)D,已足够满足全挡板条件。
P40通气装置也有采用开孔朝下的多孔环管或由多孔材料制成的空气分布器。
P40由于机械搅拌发酵罐里空气气泡的粉碎主要依靠搅拌器的剪切破碎作用,因此多孔分布器对氧的传递效果并没有明显提高,相反还会造成不必要的阻力损失,且易使物料堵塞小孔,引起灭菌不完全而增加染菌机会,故国内工业化微生物发酵罐一般很少使用,而大多采用单孔管。单孔管开口往下,以免固体物料在管口堆积或在罐底沉降堆积。
P40有些特定用途的生物反应器,若采用环形多孔空气分布管时,环的直径一般为搅拌器直径的 0.8 倍。
P41在发酵过程中,由生物氧化产生的热量和机械搅拌产生的热量必须及时移去,才能保证发酵在恒温下进行。通常称发酵过程中产生的净热量称为“发酵热”。
P41发酵热公式中,Q生物为生物体生命活动中产生的热量;Q搅拌为当搅拌器搅动液体时机械能转化为热能时的热量;Q空气为通入发酵罐内的空气由于发酵液中水分蒸发及空气温度上升所带走的热量;Q辐射为发酵罐外壁和大气间的温度差引起的热量传递。
P41通常发酵热的平均值为 10500~33500kJ/(m3·h)。
P42发酵罐的传热装置有夹套、内蛇管、外盘管,一般容积为5m3以下的发酵罐(包括种子罐)可采用夹套为传热装置,而大于5m3以上的发酵罐由于其夹套的传热面受到限制而采用立式蛇管、外盘管作为传热装置。
P42为了减少发酵罐内部件的死角,减少泄漏机会且易清洗,目前大型发酵罐采用外盘管作为传热装置。
P42简单的消沫装置为耙式消泡桨,装于搅拌轴上,齿面略高于液面。
P43为防止基因工程菌培养过程中培养菌的泄漏对人体及环境造成影响,对培养基因工程菌的生物反应器的尾气一定要进行灭菌处理。
P43基因工程菌发酵的排气必须经加热灭菌或经微孔过滤器除菌后才能排放到大气中去。
P43英国的 Domnick Hunter 公司开发出了涡轮分离器,其特点是可在低压尾气条件下有效地分离水雾和泡沫,分离效率可达99.9%以上。
P43轴封渗漏是造成微生物泄漏的又一原因。对用于基因工程菌发酵的发酵罐,要求采用双端面轴封。
P44机械搅拌自吸式发酵罐是一种不需外接压缩空气,而是利用改进搅拌器结构,在搅拌过中自行吸入空气的发酵罐。
P44国内采用的自吸式发酵罐中的搅拌器是带有固定导轮的三棱空心叶轮,直径d为罐径D的1/3。当叶轮向前旋转时,叶片与三棱形平板内空间的液体被甩出而形成局部真空。
P44自吸式发酵罐中,为了保证发酵罐有足够的吸气量,搅拌器的转速应比一般通用式的为高。
P45由于搅拌装置的转子产生的负压不是很大,因此自吸式发酵罐的罐压不能维持太高。搅拌器上方的液柱压力不能过高,罐体积不宜太大。为了减少吸气阻力,应选用过滤面积大、压力降小的空气过滤器。
P45自吸式发酵罐搅拌转速甚高,有可能使菌丝被搅拌器切断,使正常生长受到影响,所以在抗生素发酵上较少采用。但在食醋发酵、酵母培养、生化曝气方面已有成功使用的实例。
P45空气提升环流式发酵罐根据环流管安装位置可分为内环流式与外环流式两种。在环流管底部装置空气喷嘴,空气在喷嘴口以250~300m/s的高速喷入环流管。使管内气-液混合流能连续循环流动。
P45空气提升环流式发酵罐中发酵液必须维持一定的环流速度以不断补充氧,使发酵液保持一定的溶氧浓度。
P45在黑曲霉发酵生产糖化酶时,当菌体浓度为7%时,循环周期要求2.5~3.5min,不得大于4min,否则会造成缺氧而使糖化酶的活力急剧下降。
P45空气提升环流式发酵罐中发酵液的环流量与通气量之比称为气-液比。
P45空气提升环流式发酵罐中喷嘴前后压差 △p和发酵罐罐压对环流量 Qc有一定关系。
P45为了使环流管内气泡的破碎、气-液混合达到良好的效果,应使空气自喷嘴出口的雷诺准数大于液体流经喷嘴处的雷诺准数。
P46高位塔式发酵罐H/D 值约为 7 左右。罐内装有若干块筛板,压缩空气由罐底导入,经过筛板逐渐上升,气泡在上升过程中带动发酵液同时上升,上升后的发酵液又通过筛板上带有液封作用的降液管下降而形成循环。
P48按照动物细胞在培养时特性可分成两类:一类像微生物一样悬浮培养,为非贴壁依赖型,它们主要是血液、淋巴组织细胞或肿瘤细胞;另一类只能在固体或半固体表面生长,形成单层细胞,为贴壁依赖型,多数哺乳动物细胞属于这一类。
P48带帆形搅拌器的连续灌注系统培养反应器是一种实验室规模的反应器。容器规模为 4~40L,该生物反应器的特点是搅拌桨是用尼龙丝编织带制成船帆形,搅拌轴用磁力驱动旋转,转速为20~50r/min,氧气通过插入溶液中的硅胶管扩散到培养液内,以维持培养液内一定的溶氧水平。
P48带帆形搅拌器的连续灌注系统培养反应器采用新鲜培养液连续流加,而流出的培养液则通过旋转过滤器分离细胞后被排出。
P48带帆形搅拌器的连续灌注系统培养反应器可用来培养鼠类肿瘤细胞。
P49经过改进后的常规发酵罐也可用于动物细胞的悬浮培养,其关键是改进搅拌桨和通气装置。通常可用螺旋桨搅拌器取代圆盘涡轮式搅拌器,以减少搅拌的剪切力。用扩散渗透通气装置来取代传统的鼓泡空气分布器。
P49在生产中采用气升反应器有其优点:首先是它的结构简单,可避免使用轴承而造成微生物培养的污染;此外,气升反应器的传质性能相当好,尤其是氧的传递速率高。更主要的是气升式反应器产生的湍动温和且均匀;剪切力相当小,液体循环量大,使细胞和营养成分能均匀地分布于培养基中。
P49大部分动物细胞须附着在固体表面或半固体表面才能生长,细胞在载体的表面上生长并扩展成一个单层,所以贴壁培养又称单层培养。
P49传统的用于这类动物细胞培养的反应器是采用滚瓶。
P49目前很多生物制品工厂就用4~30L大小的成千上万个滚瓶进行动物细胞贴壁培养,来生产疫苗。由于滚瓶的表面与容积之比只有0.35左右,因而滚瓶培养的生产能力较低,而且手工操作劳动强度大,限制了动物细胞的大规模培养。
P50中空纤维反应器是由成束的中空纤维管组成,每根中孔纤维管内径为200μm,壁厚为50~75μm,中空维管的管壁是半透性的多孔膜,氧与二氧化碳等人分子气体可以自由地透过膜双向扩散,而大分子的有机物则不能透过。动物细胞贴附在中空纤维管外壁生长,可很方便地获取营养物质和溶氧。由于该装置内可装置成千根的中空纤维管,故其生长表积与容积之比可达40余倍,而其溶氧传质速率也悬浮培养器高3倍,为规模动物细胞培养创造了条件。
P50用微珠作载体,使单层动物细胞生长于微珠表面,可在培养液中进行悬浮培养,这种培养方式将单层培养和悬浮培养结合起来,是大规模动物细胞培养技术最常用的方法。
P50贴壁培养动物细胞的载体微珠称为微载体。该微珠可用交换当量低的葡聚糖凝胶、聚丙烯酰胺、明胶或甲壳质等来制造,微载体的球径约为40~120μm。用于动物细胞培养时,要求球径较为均匀,径差小于20~25μm,溶胀后的微载体密度稍大于培养液的密度,一般要求密度在1.03~1.05g/ml,以便在反应器内经缓慢搅拌后微载体能悬浮起来。
P50微载体悬浮培养的反应器应解决如下三个关键问题。①具有合适的搅拌器,使微载体在培养液内悬浮循环流动,而又要不因过高的剪切应力而使动物细胞受到损害。② 不能像传统发酵罐那样用空气在培养液内鼓泡充氧,而只能用扩散方式来传递氧,以满足所需要的溶氧浓度。③ 在培养液中要严格控制 pH 值,要求 pH 值控制误差小于0.05。
P50带中空纤维束的动物细胞悬浮培养反应器是用中空纤维作为通气装置的微载体悬浮培养反应器。该反应器最大的特点是用直径为2.5mm 的聚四氟乙烯中空纤维管作为通气供氧装置。空气在管内,氧分子通过半透性的管壁扩散到培养液中,供给动物细胞生长。
P50 5L气腔式动物细胞培养反应器内有一个旋转圆筒,在圆筒上部有 3~5 个中空的导向搅拌桨叶,在圆筒外壁上用200目(75μm)不锈钢丝网焊成一个环状气腔,气腔下面有一圈气体分布管。
P50 5L气腔式动物细胞培养反应器内,由于中空导向桨叶的搅动作用,可使液体与微载体的悬浮液由圆筒下端吸入,并从中空导向桨叶甩出,而形成循环流动。在气腔内气体经分布管鼓泡,然后通过气体腔(200目,75μm)丝网向主体培养液扩散。
P50锥形动物细胞培养反应器锥筒体内装有一个可旋转的塑料丝网气腔,在气腔的尖端部带有一螺旋桨搅拌器,靠螺旋桨的翻动使培养液循环流动,并使微载体悬浮于培养液中。在塑料丝网气腔内有一圈气体鼓泡管,同样也有4种气体可以通过配比调节来控制培养液的pH 值和溶氧浓度,以满足动物细胞生长所要求的条件。
P52通过植物细胞离体培养,可以获得贵重的产物(如植物皂苷、香精、甾体化合物)以及原本来源于植物的一些药品。
P52由植物细胞培养生产化学品的优点是:不需种植植株,且不受生产地域、环境气候和病虫害的影响,一年四季都能通过工业化生产获得成分均一的产物。缺点是目前生产成本较高。
P52植物细胞悬浮培养的特性:①植物细胞比微生物细胞大得多,和动物细胞大小相似。通常是形成团细胞的非均相集合体。②其纤维素的细胞壁相当脆,耐剪切能力又相当弱。③植物细胞培养基营养成分复杂而丰富,保持无菌是相当重要的。培养周期长。④要求生物反应器、泵、电极、阀、检测控制装置等要求特殊的设计,并具有良好的稳定性。⑤植物细胞培养基其黏度随细胞量的增加而呈指数上升。⑥所有植物细胞都是好氧性的,并不需要大高的氧传质速率。⑦产生的泡沫的特性与一般微生物培养不一样,黏性大,会影响培养过程的稳定性。⑧表面黏附在培养过程中也是应注意的同题。
P54空气提升式生物反应器在植物细胞培养中也有一定的应用前景,与一般机械搅拌生物反应器相比,具有如下优点:①液体流动时的剪切应力比机械搅拌反应器低得多;②反应器结构简单,造价低,无轴封装置,灭菌方便;③能耗及操作费用低;④可用通气速率来控制细胞的生长速率。
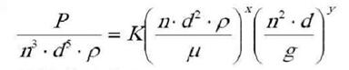
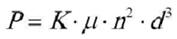
P54在机械搅拌发酵罐中,搅拌器输出的轴功率P(W)与下列因素有关:搅拌罐直径D(m)、搅拌器直径d(m)、液柱高度HL(m)、搅拌器形式、搅拌器转速n(r/min)、液体黏度μ(Pa·s)液体密度ρ(kg/m3)、重力加速度g(m/s2)以及有无挡板等。
P55牛顿流体的准数关联公式。
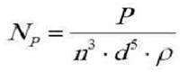
功率准数公式
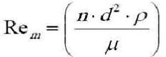
搅拌情况下雷诺准数公式
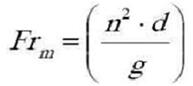
搅拌下的弗鲁特准数公式
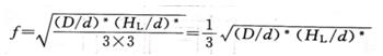
P55牛顿流体的准数关联公式中,K为与搅拌器形式、搅拌罐几何比例尺寸有关的常数。
P55牛顿流体的准数关联公式,是在D/d=3,HL/d=3,B/d=1,D/W=10的比例尺寸下进行实验得到的结果。
P56滞留状态搅拌功率公式
湍流状态下搅拌功率公式
搅拌功率校正系数公式。

P57多层搅拌器的轴功率估算公式。
P57当发酵罐中通入空气后,搅拌器所耗功率显著下降,这可能是搅拌器周围的液体由于空气导入密度明显减少的原因,功率下降的程度与通气量Qg(m3/min)及液体翻动量Q(m3/min)(Q∝nd3)等因素有关。
P57为了估算通气条件下的搅拌功率,可引入一个通气准数 Na的概念来说明,该准数代表发酵罐内空气的表观流速与搅拌器叶端速度之比。
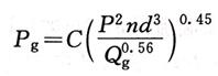
P58米歇尔法估算涡轮搅拌器的通气搅拌功率的密式(Michel)公式。
P58牛顿型流体剪切应力和速度梯度间的关系不随受剪切的时间而变化。细菌、酵母发酵培养液多为牛顿型流体。
P58不服从牛顿黏性定律的流体为非牛顿流体。丝状微生物以及高浓度颗粒状物料的悬浮液常表现出非牛顿流体特性,其剪切应力与剪切率之比不是常数,而随着切变率变化,没有确定的黏度值。
P59非牛顿流体没有确定的黏度值,通常把某时刻一定切变率下剪切应力与剪切率之比称为表观黏度。
P61氧是构成细胞本身及代谢产物的组分之一,虽然培养基中大量存在的水可以提供氧元素,但是除少数厌气微生物(如乳酸菌等)能在无氧情况下通过酵解获得能量外,许多细胞必须利用分子状态的氧才能生长。
P61细胞利用氧的速率常用比耗氧速率或呼吸强度QO2表示,其定义是单位质量的细胞(干重)在单位时间内所消耗氧的量。
P61摄氧率r表示单位体积培养液在单位时间内消耗的氧。
P61呼吸强度与摄氧率关系式。
P61细胞的呼吸强度与培养液中的溶解氧浓度有关,当培养液中的溶解氧浓度低于某临界浓度时,细胞的呼吸强度就会大大下降。
P61临界氧浓度值一般在0.003~0.05mol/m3之间,大概是空气中的氧在培养液中平衡浓度的1%~20%。在培养过程中并没有必要使溶解氧浓度维持在接近平衡浓度,只要溶解氧浓度高于所培养菌种的临界值,细胞的呼吸就不会受到抑制。
P63氧的传递速率公式中,KG为以氧分压为推动力的总传质系数;KL为以氧浓度为推动力的总传质系数;a为比表面积;为了方便起见,通常将KL与 a 合并作为一个参数处理,称为容量传质系数。
P64氧在气-液-固传递过程中,如果细胞不聚集成团,悬浮在培养液中,气泡周围的液膜阻力相对较大,成为供氧的控制部分。但如果细胞聚集成团,那么即使液相主体溶氧浓度较高,细胞团中央的细胞仍然极有可能因为扩散途径长而发生缺氧。
P64在气-液接触过程中的传质系数(容量传质系数)已有很多人进行研究。大部分研究工作是在机械搅拌及通气情况下用亚硫酸钠氧化法进行的。
P64亚硫酸钠氧化法推导得到的关联公式。
P65根据亨利定律,提高气相中氧的分压就可以提高液相氧的平衡浓度C*。提高气相氧时分压最简便的方法是提高反应器中的压力,但随着罐压的升高,二氧化碳的分压也升高,由于二氧化碳的溶解度比氧大得多,从而对一些培养过程可能会产生不良影响。
P65提高氧的分压的另一方法是增加空气中氧的相对含量,进行富氧通气。但是,采用富氧通气时也应考虑高氧分压是否会对细胞产生不良影响和生产成本的提高。
P65气-液比表面积是指单位体积培养液中气泡的总面积。
P65当物性一定的条件下,增加单位体积通气情况下的搅拌功率和通气量都可增加气-液比表面积。
P65影响体积传质系数 KLa 的因素中,搅拌转速、搅拌功率、通气速度等操作条件对 KLa 有很大影响。
P65实际上液体的性质,诸如密度、黏度、表面张力、扩散系数等的变化,都会对KLa带来影响。
P65培养液中的蛋白质、脂肪及化学消泡剂都是表面活性物质,使表面张力下降,形成较小的气泡,使比表面积增大。
P69大型生物反应器设计是否能成功的关键是设计参数的来源及其正确性。传统的放大设计,是根据小试、中试的表观实验数据,即状态参数(pH值、溶氧、温度、压力)、操作参数(通气量、搅拌转速)、结构参数(罐径、装液高度、搅拌桨直径及桨形)等,通过因次分析法、经验法则法、数学模拟法或时间常数法进行放大。
P69由于目前人们还不能完全掌握生物代谢过程本身的机理及其与工程过程参数的关系,一般都是以工程角度为主来考虑,忽视了细胞代谢流参数,使得生物反应器的放大设计受到了一定的制约。
P69发酵罐从中试的模型罐与生产罐之间以几何相似为前提的放大,从工程角度上解决放大后生产罐的空气流量、搅拌转速和功率消耗等三个问题是十分重要的。
P69在生物反应器的放大中,放大倍数实际上就是罐的体积增加倍数,即放大倍数 m=V2/V1。
P69发酵过程中的空气流量一般有两种表示方法。一是以单位培养液体积在单位时间内通入的空气量(以标准状态计)来表示,即Q0/VL=VVMm3/(m3.min);另一种是以操作状态下的空气直线速度ωg来表示,ωg的单位是m/h。
P70空气流量的放大方法主要有以下三种:①以单位培养液体积中空气流量相同的原则放大;②以空气直线流速相同的原则放大;③以KLa值相同的原则放大。
P70一般认为空气流量的放大以 KLa 等于常数的原则进行放大较为合适。
P70搅拌功率及转速放大的方法较多,而常用于发酵罐的有下列几种方法:①以单位培养液体积所消耗的功率相同的原则放大;②以单位培养液体积所消耗的通气功率相同的原则放大;③以气-液接触中容量传质系数KLa相同的原则放大;④以搅拌器叶端速度相等的原则放大。
P72在一般工业化发酵罐放大过程中,单位培养液体积通气功率相等的原则进行放大,放大后的功率与转速与实际经验亦较吻合。
P73生物反应器的发酵参数检测的主要目的是:①进行生物反应过程数据的采集和管理,以有助于生产工艺的改进和优化研究;②生产操作和过程的自动化,减轻劳动强度,提高操作的准确性;③ 监督和记录生产过程的各种现象,实现过程控制与质量控制;④提高生产的产量和产品的质量。
P73对生物反应器及生化反应系统,需要检测和控制的生化反应状态参数及操作特性,按其性质特点,可以分为三大类:物理量、化学量及生物量。
P73小型生物反应器检测的参数较多,常用于工艺研究和开发。大型工业化生物反应器,为减少边菌概率,防止传感器的失常影响生产过程的控制,一般只对少数参数进行检测。
P73传感器是将非电量转换为电量的器件。
P73能够用于生化反应过程参数检测的传感器分在线检测和离线检测。
P73由于微生物纯种培养和培养周期长等特殊要求,用于生化反应过程的传感器还应具有良好的可靠性、准确性、精确性、分辨率、灵敏度、特异性和较短的响应时间。
P73一般用于生物反应器的传感器有以下要求:①用于罐内的传感器必须能耐热,经受高温灭菌;②使用的传感器能抵抗菌体对其性能的影响;③抗罐内气泡干扰;④传感器的结构必须严密、无泄漏,并要避免灭菌死角。
P74测温的元件和方法有多种,常用的有玻璃温度计、热电偶、热敏电阻、热电阻温度计等。
P74生物反应器上的温度检测系统主要由热电阻传感器和二次仪表组成。
P74在微生物悬浮培养时,生物反应器中须通入无菌的洁净空气,目的是为微生物生长提供溶氧和维持反应器内的正压,防止杂菌进入生物反应器。
P74为防止压力表弹簧腔内的灭菌死角,生物反应器上应采用隔膜式压力表。
P74液位的检测主要方法有电容法、压差法和称重法。
P75电容式液面计测定原理:由于不同液位间的高度使得在容器内两根金属电极的电位发生变化,并转换成相应的电信号。
P75压差法测定中,容器内液体不同高度的压强可用差压变送传感器测量。
P75泡沫高度常用电极探针来测定,当泡沫增多,其表面上升,与电极探针接触,从而产生电信号。常用的泡沫检测电极有电导、电容、超声波等。
P75对于一些中试罐或实验室规模用罐,由于液位的变化量相对较小,易造成测量误差,因此,可考虑用称重的方法来表达培养液的变化。
P75发酵中间补料是发酵工艺控制重要的操作手段之一。大罐的补料常采用补料杯进行定量补料。而中试或实验室用罐常需精确和变量补料。
P75常用来测量培养基和其他酸碱等液体流量的流量计是液体质量流量计、电磁流量计、涡街流量计和转子流量计。
P75科里奥利斯质量流量计是利用流体在直线运动的同时处于一旋转系中,产生与质量流量成正比的科里奥利斯力原理制成的一种直接式质量流量计。
P75科里奥利斯质量流量计可以适应多种流体和糊状介质的测量。它还具有压力损失小、自排空、保持清洁等众多特点。其有很高的测量精确度。
P75当非流线型阻流体(bluff body)垂直插入流体中,随着流体流动,阻流体就产生旋涡分离,此旋涡形成了有规则的排列,称此排列为涡街。
P75涡街流量计原理:流体在阻流体两侧交替地分离释放出两串规则的旋涡,在一定的流量范围内旋涡分离频率正比于管道内的平均流速,通过采用各种形式的检测元件测出旋涡频率就可以推算出流体的流量。
P76涡街流量计结构简单牢固,安装维护方便,适用流体种类多。
P76涡街流量计不适用于低雷诺数测量(Re>2×104),故在高黏度、低流速、小口径情况下应用受到限制。
P76气体流量测定器件分两大类:流量型和质量流量型。
P76体积流量型气体流量计。常用的如转子流量计、孔板压差式流量计等。
P76分布式流量计是利用传热原理,即流动中的流体与热源(流体中加热的物体或测量管外加热体)之间热量交换关系来测量流量的仪表,是质量流量型。
P76热分布式流量计的工作原理:在没有空气流过时沿测量管轴方向的温度分布大体上是左右呈对称的,有空气流过时近气流进入端的温度降低,而流出端的温度上升,对一定的气体,输出的电势与质量流量成正比。此种流量计的精度较高。
P76发酵液黏度的检测通常采用取样后,再用黏度计进行检测,测定出发酵液的流变特性。
P77发酵工业上常用的黏度测定仪有振动式黏度传感仪、毛细管黏度计、回转式黏度计以及涡轮旋转黏度计等。
P77振动式黏度传感仪是用一特制的金属棒插进反应器内溶液中,并使之强制振动,其振动特性与液体黏度有一定的关系,故只要设法检出其振动特性,就可掌握发酵液的黏度。
P77毛细管黏度计整个系统处于恒温状态,将被测物料置于贮筒中,在恒定压差下,使料液从毛细管排出,由流量算出其剪应力的流变特性。
P77回转式黏度计主要有同轴圆柱套筒型、锥体平板黏度计等零件,将发酵液置于两个不同直径的同轴圆柱体之间,其中之一可以做不同转速的转动,此时在另一圆柱上的转矩就可被测量,这种转矩随转速的变化可以被转化成剪应力和剪应变之间的关系,从而可以了解发酵液的流变特性。
P77常用检测搅拌转速的方法为磁感应式、光感应式和测速发电机等三种。前两种测速方法是在搅拌轴或电机轴内预装磁感应器或光电器来测量搅拌转速。而测速发电机是在搅拌轴上或电机轴上装设一测速发电机,其输出电压与搅拌转速成线性关系。通过取得的转速可根据工艺条件进行调速,常用的调速方式有直流调速、调速电机或变频调速等。
P78一般生产规模的生物反应器搅拌功率只是测定驱动电机的电压与电流,或直接测定电机搅拌功率。
P78常用的 pH 传感器是能够耐受高温蒸汽灭菌的复合 pH 电极,由一个玻璃电极和参比电极组成。
P78生物反应器系统需较精确的 pH 控制。pH 传感器在每次使用时均应进行校准、灭菌。
P78附有压力及温度补偿的覆膜溶氧测定电极,其溶氧浓度的检测方法是使用膜将测定点与被测料液隔开,使用前均需进行校准。
P79 CO2电极中,溶解CO2浓度的检测原理是利用对CO2分子有特殊选择渗透通过特性的微孔膜,并使扩散通过的CO2进入饱和碳酸氢钠缓冲溶液中,平衡后显示的 pH 与溶解的CO2浓度成正比,由此原理并通过变换就可测出溶解CO2浓度。
P79排气的O2分压的检测。主要有磁氧分析法、极谱电位法和质谱法。较多采用磁氧分析法,原理就是利用氧是顺磁性的,它的磁化率较其他气体大,而且大多数气体具有抗磁性,有较小的磁化率。
P79排气中 CO2分压的检测中,工业化发酵生产中常用红外线二氧化碳测定仪来检测发酵排气中的CO2分压(浓度),其工作原理是在近红外波段气体的吸收造成强度衰减,其衰减量遵循 Lambert-Beer 规则
P80全细胞浓度测定方法又可分湿重法、干重法、浊度法、湿细胞体积等,实际生产中这四种方法都有广泛应用。以准确度来说,干重法最好,但其余三种方法更简便易行,节省时间。
P80生物体培养过程中活细胞浓度的测定原理是利用活生物细胞催化反应或活细胞本身特有的物质而使用生物发光法或化学发光法进行测定。
P80生物体培养过程中活细胞浓度的测定原理是利用活生物细胞催化反应或活细胞本身特有的物质而使用生物发光法或化学发光法进行测定。
P81 1987年Kell首先描述了测量细胞量的双电极性质。生物量的测量是采用 4 个白金电极,其中两个外电极产生一个交变的电场,两个内电极测量电压。
P81由于每个在介质中的细胞相当于一个小电容,因此细胞膜极化的程度可以由测量的电容值来衡量。其在细胞悬浮液中电容单元的量(膜极化)直接与生物量有关,因此电容值就可以用来测量生物量。
P81生物反应过程检测的目的是为了取得对生物体代谢过程有影响的信息,从而对反应器系统进行控制。控制的最终目的在于创造生物体最适的生长和产物合成环境,使生物催化剂处于高效的催化活性状态,以使生物反应高速、高效、高收率,降低原材料和能量消耗,并保证产品的质量。
P82微生物发酵或细胞培养过程一般均要用反馈式控制。
P83从计算机软硬件技术情况来看,目前用于生物反应过程的实时控制和数据处理系统主要有单片计算机系统、可编程控制器(PLC)、现场总线系统、工控机和集散控制系统(DCS)等。
第四章 液-固分离设备
P86过滤有以下三种过滤机理:滤饼过滤、深层过滤、绝对过滤。
P86滤饼过滤时,在过滤操作开始阶段会有部分颗粒进入过滤介质的网孔而发生架桥现象。随着滤渣的逐步堆积,在过滤介质上形成了一个滤渣层,称为滤饼。
P86在深层过滤中,固体颗粒并不形成滤饼,而是沉积于较厚的过滤介质的内部。
P87绝对过滤的特征是过滤介质的标示孔径小于被截留的固体颗粒。膜分离设备中的超滤是典型的绝对过滤的例子。
P87切向流过滤(简称TFF)是使过滤悬浮液沿着过滤介质平行的方向流动,不断更新过滤介质表面,是克服浓差极化现象最有效的方法。
P87工业上常用的过滤介质,织物介质由天然或合成纤维、金属丝等编织而成的滤布、滤网,是工业生产使用最广泛的过滤介质。
P87工业上常用的过滤介质分类有:织物介质、多孔性固体介质、堆积介质、高分子膜。
P87沉降是利用液-固间的密度差异,在重力场或离心力场中的速度差而实现液-固分离的过程。
P87重力沉降因推动力小、分离效率低已很少在工业上应用。
P89评价离心力大小的是离心分离因素,其定义是对象所受离心力与重力的比值或在离心力场中的离心加速度与重力加速度的比值。
P89离心机以离心分离因素f值的范围分为常速离心机(f<3000)、中速离心机(f=3000~5000)、高速离心机(f>5000)和超速离心机(f=2×105~106)。
P91液固分离设备中的沉降设备分为重力沉降设备和离心沉降设备。重力沉降槽、增稠器属于重力沉降设备;管式离心机、碟片式离心机、卧式螺旋式离心机、三足式离心机属于离心沉降设备。
P91液固分离设备中的过滤设备分为常压过滤机、加压过滤机、真空过滤机、离心过滤机。板框压滤机、板滤机属于加压过滤机;真空鼓式过滤机、叶滤机属于真空过滤机;三足式过滤机属于离心过滤机。
P91液固分离设备中的膜分离设备有:微滤器、超滤器、反渗透器。
P91板框压滤机是典型的滤饼过滤,主要由若干块滤板和滤框间隔排列而成,板和框之间夹有滤布,当板框压紧后,即形成若干滤室。料液由离心泵或齿轮泵打入由板和框组成的通道,分别进入各滤室,滤液经滤饼和滤布层从滤板下方流出,滤渣即停留在滤室中成为滤饼。
P91板框压滤机由机架、压紧机构和过滤机构三部分组成。
P91板框压滤机中,板框的压紧方式有手动压紧、机械压紧和液压压紧三种。
P91机械压紧:压紧机构由电动机(配置过载保护器)减速器、齿轮、丝杆和固定螺母组成。
P92液压压紧:液压压紧机构的组成有液压站、油缸、活塞、活塞杆以及活塞杆与压紧板连接的哈夫法兰卡片。
P92过滤机构由滤板、滤框、滤布、压榨隔膜组成
P92滤液流出的方式分明流和暗流两种。明流过滤中,在每个滤板的下方出液孔上装有水阀滤液直观地从水阀里流出。在暗流过滤机中,每块滤板的下方均设有出液通道孔。
P93在滤饼需要洗涤时,可有明流双向洗涤和单向洗涤、暗流双向洗涤和单向洗涤。
P94板框压滤机型号中各字母的含义。
P96目前,国产的GP型鼓式过滤机过滤面积有1m2、2m2、5m2及20m2四种。
P97三足式离心机是最早出现的液-固过滤离心机。三足式离心机可用于分离固体粒径从10μm至数毫米的、含固量约从5%至40%~50%的液-固两相悬浮液。
P100管式离心机转速高,一般在10000r/min以上。
P100管式离心机结构简单,运转可靠,常见的转鼓直径为40~150mm长度与直径之比为4~8,管式离心机的分离因数可达15000~65000,在沉降离心机中这种分离机的分离因数最高,分离效果最好。每小时处理量为200~1200L。
P101管式离心机的型号标记中各字母的含义。
P101卧螺离心机主要是由高转速的转鼓以及与转鼓转向相同但转速比转鼓略高或略低的螺旋差速器等部件组成。
P101碟片式离心机的分离因素高,但结构复杂、价格昂贵。
P101碟片式离心机的转鼓转速为4000~12000r/min,转鼓直径为150~1000mm,分离因素为3000~13000,当量沉降面积最大达10000~200000m2,生产能力最高可达100m3/h。
P101现在膜分离技术有微滤(MF)、超滤(UF)、纳滤(NF)、反渗透(RO)、电渗析(ED)、膜电解(ME)、扩散渗析(DD)、透析、气体分离(GS)、蒸汽渗透(VP)、全蒸发(PV)、膜蒸馏(MD)、膜接触器(MC)和载体介导传递等。
P101膜器是膜分离设备的核心部件。
第五章 萃取设备
P113溶剂萃取法是利用液体混合物中各组分在某溶剂中溶解度的差异,用一种溶剂将产物自另一种溶剂中提取出来,达到浓缩和提纯的目的。
P113溶剂萃取法具有生产能力大、周期短、便于连续操作、容易实现自动化等优点。
P113溶剂萃取法在生物工程行业是一种重要的提取方法和分离混合物的单元操作。
P113溶剂萃取含液-液萃取和液-固萃取。
P113生物工程产业中,萃取技术最多的是抗生素生产的领域。
P113液-液萃取设备应包括两个部分:①混合设备②分离设备。
P114在溶剂萃取中,实现两液相混合的设备有混合(萃取)罐、混合(萃取)管、喷射萃取器及泵等。
P114溶剂萃取设备的混合设备中可能用到混合管,混合效果更好的是静态混合器,其管内安装有正反螺旋相间隔的混合螺旋片元件。静态混合器的混合过程是靠固定在管内的混合元件进行的。
P115工业中一般采用管式离心机或碟片式离心机来处理萃取混合液。
P116溶剂萃取设备的分离设备中可能用到碟片式离心分离机,碟片式离心分离机具有生产能力大、 性能可靠的优点,但结构较复杂,因此价格较高,同时装拆清洗也较不方便。转鼓一般以4000~7000r/min的转速旋转。
P117多级离心萃取机是在一台机器中装有两级或三级混合及分离装置的逆流萃取设备。
P118卧式离心萃取机,重液由鼓中心的通道进入,逐层向外缘流出,轻液则是由鼓的外缘进人,逐层向内流动,最后在鼓中心流出。
P119单级萃取的未被萃取分数
单级萃取的理论收得率公式
多级错流萃取未被萃取分数
多级错流萃取理论收得率公式
多级逆流萃取未被萃取分数
多级逆流萃取理论收得率
多级逆流萃取理论级数公式
第六章 层析
P126层析技术,又称色谱技术,是利用不同分子在固定相和流动相即在两相介质间分配比例的不同而实现分离的技术。生物学家通常将这种分离方法称为层析,而化学家喜欢把它称为色谱。
P126层析依据其分离原理和方法的不同,分为凝胶层析、亲和层析、反相和疏水层析及离子交换层析等。
P126体积排阻层析是一种纯粹按照溶质分子在流动相溶剂中的体积大小而进行分离的层析。在用水系统作为流动相的情况时,也称为凝胶过滤层析。
P127离子交换层析中生物大分子和离子交换剂之间的相互作用主要是静电作用,而导致介质表面的可交换离子与带相同电荷的蛋白质分子发生交换。
P127反相层析中,任何一种有机分子的结构中都有非极性的疏水部分,这部分越大,一般保留值越高。
P127在烷基键合硅胶上的反相层析,由于其柱效高、分离度好、保留机制清楚,是蛋白质的分离、分析、纯化和结构阐明广泛使用的一种方法。
P127疏水层析的工作原理与反相层析相同,区别在于HIC填料表面疏水性没有RPC强。
P127疏水层析中,在高盐浓度条件下蛋白质与固定相疏水缔合,浓度降低时疏水作用减弱,逐步被洗脱下来。
P127亲和层析是利用生物大分子和固定相表面存在某种特异性吸附而进行选择性分离的一种生物大分子分离方法。
P128层析设备的组成有泵、阀门、层析柱、检测器、收集器等。
P128在层析系统中所用的泵一般都是恒流泵,可根据泵提供压力的不同,由低到高,将泵分为蠕动泵、隔膜泵、注射泵和柱塞泵。
P129蠕动泵是通过旋转的滚柱使胶管的空腔容积发生变化来输送液体的。
P129输送的介质不与泵体接触,这样有利于输送一些对金属腐蚀性较强的介质(如酸、碱溶液),或者一些含氯离子的盐溶液;清洗、拆卸简单快捷;
P129隔膜泵利用隔膜的前后动作,使隔膜与泵头间的空腔变化造成球阀的上下移动,形成其空抽吸可推挤过程,而导致液体的输送。
P130注射泵可以提供 700psi 左右的压力,属于中压泵。
P130柱塞泵的精度可由柱塞的截面积来控制,柱塞截面积越小,精度越高。
P130目前市场上高档的层析系统一般采用双柱塞双泵,目的是使输液平稳,减少脉冲现象。
P130层析系统中的阀,从功能上讲,可以将阀分为三类:上样阀、缓冲液选择阀和分流/旁通阀。
P130层析系统的上样阀有 7 个进出口,能实现 3个位点的转化,执行3种(上样、进样、洗涤)不同的任务。
P131缓冲液选择阀通过阀位点的切换,调换不同的缓冲液。
P131分流/旁通阀是由层析系统控制的二相螺线管阀。将液体从层析柱导入至旁通位点,或至收集器或至废液位点。
P133玻璃层析柱是经济实惠的低压层析柱。
P133护套层析柱含内置水护套,应用于要求温控的操作。
P133层析系统中,径向柱的主要特点是使原料及流动相由柱床的侧壁以垂直纵轴的方向向心流动和分离,流出液由柱床轴心的管道汇集并自出口流出。
P133层析系统中,径向柱在工艺放大时需要增加的是柱长而非直径。
P133高分辨率层析柱能为大多数层析提供极高的分辨率。耐压性能极好,可达700~1000psi压力。
P133工业规模层析柱具有独特的密封设计,能防止死区和渗漏。
P134在层析中需要检测的指标有 pH、离子强度、紫外/可见光吸收值、折射率、荧光值等,相应的检测器有pH 计、电导仪、紫外/可见光检测器、示差检测器、荧光检测器等。
P134层析系统中,紫外检测器是最常用的检测器。
P134层析系统中,示差检测器是应用较广泛的检测器,主要用于脂类、糖类物质的测定。
P134电导检测是优化蛋白质分离方法及确认层析分离效果的最基本手段。优秀的层析系统需要实时在线检测电导值。检测范围在0-500MS。
P135层析系统中,pH 检测器检测用于层析的缓冲液pH的变化情况。
P135组分收集器又称分部收集器,用于收集相关从层析柱流出的组分,进行回收或者定性定量分析。
P135组分收集器根据形状可分为圆盘式组分收集器及方型组分收集器。
P135方型组分收集器较为高级,适用于分析型和制备型层析,提供了各种高精密度的收集控制功能。
P136离子交换操作长期以来应用于水处理和金属回收。离子交换操作是基于由一种高分子合成材料作为吸着剂(称为离子交换剂)来吸附某些有价值的离子。
P136离子交换法提取抗生素的方法,是把抗生素从经稀释的发酵液或滤液中吸着在对欲提取的抗生素有选择性的离子交换树脂上,然后在适宜的条件下将抗生素洗脱下来。
P136离子交换法具有成本低、设备简单、操作方便以及不用或少用有机溶剂等优点,已成为提取抗生素的主要方法之一。
P136离子交换法生产周期长;成品质量有时较难控制;在生产过程中,pH变化较大,故不适用于稳定性较差的抗生素;生产过程中生成酸性废水、碱性废水量大,故要加强废水处理。
P136离子交换树脂是一种不溶于酸、碱和有机溶剂的网状结构的功能高分子化合物,其结构由三部分组成:第一部分是不溶性的具有三维空间网状结构构成的树脂骨架;第二部分是与骨架相连的功能基团;第三部分是与功能基团所带电荷相反的可迁移的离子(称为活性离子)。
P136离子交换设备主要有离子交换罐或交换柱。
P136离子交换的操作方式不同可分为:分批法(静态吸附法)、固定床法(动态吸附法或柱吸附法)、流动床法(连续离子交换法)。
P137一般的离子交换罐为带有椭圆形顶及底的圆筒形设备,其圆筒体的高径比(H/D)一般为2~4。树脂层高度约占圆筒高度的50%~70%。
P138在反吸附离子交换罐中,被交换的料液由罐的下部导入。
P138在反吸附离子交换罐中,反吸附操作除可以省去菌丝过滤这一工序外,还具有液-固两相接触面积大而且较均匀,操作时不产生短路、死角,以及流速大和生产周期短等优点,因此解吸后所得的抗生素产品质量较高。
P138混合床系将阳、阴两种树脂混合而成,脱盐效果较完全。
P138若将混合床用于抗生素精制,则可避免采用复床时溶液变酸(通过阳离子柱时)或变碱(通过阴离子柱时)的现象,因而可减少抗生素的破坏。
P138混合床交换罐中,阳离子、阴离子交换树脂常以体积比1:1混合,制备去离子水时流速约为25~30m/h。
P139连续离子交换过程中树脂破损很大,设备较复杂且不易控制,故迄今未能在大生产中使用,仅在软水及去离子水生产中有所采用。
P141在固定床放大时,通常是根据单位树脂床体积中所通过溶液的体积流量或单位树脂床截面积上所通过溶液的体积流量相同的原则进行。
P142根据单位树脂床截面积上所通过溶液的体积流量相同的原则进行放大要维持大设备与实验设备的树脂床高度相同,仅直径加大,以保证两者线速度相同,实际上也就是保证两者接触时间相同。
第七章 蒸发和结晶
p144蒸发是用加热的方法使溶液中的部分水分或溶剂气化并除去,以提高溶液中溶质的浓度或使溶液浓缩到饱和而析出溶质。
p144蒸发与结晶之间最大区别在于,蒸发是将部分溶剂从溶液中排出,使溶液浓度增加,溶液中的溶质没有发生相变,而结晶是从均一的溶液相中析出固相晶体的一个化工单元操作。
P144根据生物产品的热敏性特点,在生物工程产业中普遍采用的是膜式真空蒸发器。
P145膜式蒸发器的特点,若是溶液仅通过加热管一次,不做循环,称为单流式。
P145单流式长管蒸发器具有一细长的竖立管束,管束中的长管直径一般为25~50mm,高径之比一般为100~150。
P145长管薄膜蒸发器可分为升膜式、降膜式和升降膜式三种。
P146升膜式长管蒸发器适用于粘度不大于0.05Pa·s和易产生泡沫的料液,但不适用于在浓缩中有结晶析出或易结垢的料液。
P146升膜式蒸发器常压下操作时适宜的出口汽速不小于10m/s,一般为20~50m/s。
P146降膜式长管蒸发器中,料液是由顶部经液体分布装置均匀分布后进入加热管中,并沿管内壁以液膜状下降。随着液膜的下降,部分料液被气化,蒸出的二次蒸汽由于管顶有料液封住,所以只能随着液膜往管底排出,然后在分离器中分离。
P146降膜式长管蒸发器对处理高度热敏或黏度较大的溶液是特别有利的。
P146循环式蒸发器就是将溶液在加热管中进行多次蒸发的装置。若为升膜式蒸发器,可将分离器中分离出来的溶被引至加热管底部与新鲜料液起再经加热管加热和气化,若为降膜式蒸发器,则必须借助于循环泵将分离器引出的溶液送往器顶重新进行分布和浓缩。
P147刮板式薄膜蒸发器具有一搅拌轴,轴上附有若干块刮板。
P147刮板式薄膜蒸发器可分为两段,下段为加热蒸发段,上度有气-液分离段。下段中具有加热夹套,上段有扩大的截面及固定的叶板,以利于气-液分离。
P147刮板式薄膜蒸发器缺点是生产能力较小,具有传动件,需经常加以维护,而且造价较高。
P148与刮板式蒸发器相类似的还有转子式和转盘式薄膜蒸发器。
P148离心式薄膜蒸发器的操作过程中,物料先经过滤器,进人可维持一定液面的贮罐,再由螺杆泵将料液输送至蒸发器,由喷嘴将料液喷在离心盘背面,在离心力作用下使其形成均匀薄膜。在离心盘中的夹层内,通人加热蒸汽。浓缩液在通过膨胀式冷却器后冷却为20℃的成品,由浓缩液泵将其排出。二次蒸汽经过板式冷凝器后冷凝,再用真空泵将其抽出。
P148蒸发器的配套设备中,单效蒸发设备除了蒸发器以外,还有气-液分离器、冷凝器和真空装置。
P148蒸发器的配套设备中,气-液分离器又称除沫器,其作用是把二次蒸汽夹带的液体分离出来。
P148蒸发器的配套设备中,蒸汽冷凝器的作用是用冷却水将二次蒸汽冷凝成液体。当二次蒸汽为有回收价值的溶剂或会严重地污染冷却水时,应采用间壁式冷却器,如列管式、板式、螺旋管式及淋水管式等热交换器。当二次蒸汽为水蒸气时,可用直接接触式冷凝器。
P150蒸发操作过程主要费用是能耗,即蒸汽和冷却二次蒸汽的冷却水的消耗。采用多效蒸发操作是解决以上问题的主要途径。
P150多效蒸发的工作原理是将若干个蒸发器串联起来,利用将各效蒸发器的操作压力依次降低使相应的液体沸点也依次降低,从而使二次蒸汽作为下一效蒸发器的加热蒸汽。把通入加热蒸汽的蒸发器称为第一效蒸发器,以第一效蒸发器所产生的二次蒸汽作为加热蒸汽的蒸发器称为第二效蒸发器,其余依此类推。
P150多效蒸发操作的流程根据加热蒸汽与料液的流向不同,可分为并流 (顺流)、逆流、平流和错流。
P154二次蒸汽中不凝性气体来自两个方面:一是因蒸发系统设备和管道的不紧密漏入的空气量;二是溶解于液体中 (包括料液和冷凝器用的冷却水) 的气体量因减压而泄出的。
P155结晶设备根据结晶方式及操作方法可分为三类:冷却结晶器、蒸发结晶器、真空结晶器。
第八章 生物产品干燥设备
P158常用于微生物制药生产的干燥设备有气流干燥器、沸腾干燥器、喷雾干燥器、沸腾造粒干燥器、真空干燥器和冷冻干燥器等。
P159空气的湿含量 x 为 1kg 干空气中所含水汽的质量。
P159空气的相对湿度,为空气中水汽含量与同温度同压强下空气的饱和水汽含量之比,或空气中水汽分压与同温度下水的饱和蒸气压之比。
P158常用于微生物制药生产的干燥设备有气流干燥器、沸腾干燥器、喷雾干燥器、沸腾造粒干燥器、真空干燥器和冷冻干燥器等。
P159空气的湿含量 x 为 1kg 干空气中所含水汽的质量。
P159空气的相对湿度,为空气中水汽含量与同温度同压强下空气的饱和水汽含量之比,或空气中水汽分压与同温度下水的饱和蒸气压之比。
P159湿球温度tw是少量的水与大量流动的湿空气长时期接触后的温度,它是表明湿空气状态的一个重要参数。
P159绝热饱和温度ts为当一定量不饱和空气在绝热情况下与大量的水(水温低于空气温度)相接触,最后达到饱和时的温度。
P160在实际计算过程中,可将绝热饱和温度ts以湿球温度tw代替。
P160在I-x图上不同的点代表不同的空气状态,只要知道空气诸参数(x、I、t、φ、tw、td)中任何两个,就可以从图中方便地读出其他参数的数值。
P160物料中的含水量可用湿基含水量w[kg/kg(水/干物料)]或干基含水量c[kg/kg(水/干物料)]表示。
P160在干燥过程中结合水分较难去除,含有结合水的吸水性物料在干燥过程中有一个极限含水量,被称为平衡水分c*。
P162恒速阶段的干燥时间公式。
P163降速阶段的干燥时间公式。
P163利用高速热气流将物料在流态化输送过程进行干燥的操作称气流干燥。
P163典型的气流干燥器为长管式气流干燥器。
P165基尔比契夫准数 Ki的公式。
P177沸腾干燥(亦称流化床干燥)是利用热空气流使置于筛板上的颗粒状湿物料或粉状湿物料呈沸腾状态的干燥过程。
P177一般用来进行沸腾干燥的物料不能结块,否则干燥效果很差;黏性很大的物料一般不适用于沸腾干燥。沸腾干燥器可设计成间歇操作或连续操作。
P177单层沸腾干燥器结构简单,操作方便,但物料在沸腾床中停留时间差异较大,热量利用也较差。
P177为了改善单层沸腾干燥器物料在沸腾床中停留时间差异较大,保证干燥产品温度均一性,现大多采用卧式多室沸腾干燥器。
P178从空气通过流化床所产生的压降△p与空塔(床)速度w间的关系曲线能够清楚地区分流化过程中的三个阶段,即:①固定床阶段;2流化床阶段;③稀相输送阶段。
P178要维持流态化操作,应该维持气速在临界流化速度wmf和颗粒自由沉降速度wt之间。
P179沸腾干燥器计算中,临界流化速度的计算公式1。
P180沸腾干燥器计算中,临界流化速度的计算公式2,包括阿基米德准数。
P182流化床层高度的计算公式。
P182沸腾床干燥器计算中,考虑到空气可能夹带一些颗粒,因此实际干燥器的高度H应大于沸腾床高度Hf。在设计中约可为船高的两倍,即H=2Hf。
P187喷雾干燥的优点如下:①干燥过程进行得很快(约为3~30s)。②干燥过程中物料的温度较低③可以由液料直接获得粉末,省去蒸发结晶、分离、粉碎等工序,而且可在半无菌状况下操作。④成品质量可以进行控制,如成品细度、水分等。
P187喷雾干燥的缺点如下;①喷雾干燥的容积干燥强度小,故其干燥室体积很大。②喷雾干燥能量消耗大,干燥介质用量多,热量利用不经济。③ 会发生产品粘壁情况。
P187喷雾干燥的雾化器有三种形式,即气流式喷嘴雾化器、机械式喷嘴雾化器和离心式雾化器。
P187大型的喷雾干燥塔采用离心式雾化器为多。中小型喷雾干燥塔采用气流式喷嘴雾化器为多。
P192机械式喷雾器也称压力式喷雾器。
P192机械式喷嘴的孔径约为0.3~2mm,喷液量可为15~1800L/h。
P192机械式喷嘴一般用于处理量较大的场合下,特别适用于逆流喷雾干燥操作的场合。
P192离心式雾化器的主要部件是高速旋转的离心盘。离心盘的形式很多,如平板型、碟盘型、多翼型和喷嘴型等。
P200箱式真空干燥器是间歇操作,装料卸料均需人工操作,劳动强度大,这是其主要缺点。
P203冷冻干燥,亦称升华干燥,这是将湿物料或溶液在较低的温度下(-10~-50℃)冻结成固态,然后在高度真空(1~0.001mmHg)下将其中水分不经液态直接升华成气态而脱水的干燥过程。
P205冷冻干燥系统主要由4部分组成:冷冻部分;真空部分;水气去除部分;加热部分。
P205常用的制冷方式有三种:蒸汽压缩式制冷;蒸汽喷射式制冷;吸收式制冷。其中最常用的是蒸汽压缩式制冷。
P205蒸汽压缩制冷过程分为压缩、冷凝、膨胀以及蒸发四个阶段。
P205常用的冷冻剂有氨、氟里昂、二氧化碳、二氧化硫等。
P205冷冻干燥系统中加热的目的是为了提供升华过程中的升华热(蒸发热+融解热)。加热的方法有借夹层加热板的传导加热、热辐射面的辐射加热及微波加热等三种。
第九章
P208GMP 的覆盖面是所有的药品和所有的药品生产企业;GMP 的条款强调时效性(cGMP);GMP强调药品生产和质量管理的法律责任;GMP强调从事生产管理和质量管理人员的业务素质、技术水平和受教育的程度;GMP强调生产全过程、全方位的质量管理;GMP强调生产的验证、检查与防范;
P209GMP的内容主要包括人员、厂房、设备、卫生、原料、辅料及包装材料、生产管理、包装和贴签、生产管理和质量管理的文件、质量管理部门、自检、销售记录、用户意见及不良反应的报告。
P209GMP的执行应有必要的“硬件”和“软件”,缺一不可。“硬件”是指保证生产工艺能被正确地执行和防止产品被污染的必要物质条件,如合理的厂房、环境、设备、工艺路线,合格的原辅材料,足够的公用系统设施和环境保护措施等。“软件”是指人员的技术素质、人员培训、标准操作法、原辅材料、中间产品和成品的检验标准和方法、原始记录和保证上述内容得到有效执行的措施等。
P209原料药的生产记录应具有可追溯性,其批生产记录至少应从粗品的精制工序开始。
P209连续生产的批生产记录以该批产品各工序生产操作和质量监控的记录为依据。
P212对于容器类设备,应设有清洗窗,最好配备就地清洗(CIP)、就地灭菌(SIP)的洁净工艺。
P213与药物直接接触部位要防止化学反应、吸着渗透、氧化剥离等。某些液体或有机溶剂较固体更容易发生反应,可用特种设备和使用耐湿、耐火、耐酸碱等化学性质稳定的材质。
P213密封材料应保证不会污染药物,用于静密封的材料应选用合成橡胶(丁基橡胶等)或允许使用的材料。
P214无菌原料药设备位置是处于洁净室、洁净工作台或局部气体层流罩下,与大气隔离。
P217设备验证中,所谓“验证”就是在实施GMP的过程中能证明任何程序、生产过程、设备、物料、活动或系统确实能达到预期结果的有文件证明的一系列活动。
P219生物发酵工业常用的清洗剂中,清洗剂根据在清洗中的作用机理可分为溶剂、表面活性剂、化学清洗剂、吸附剂、酶制剂等几类。
P220通常,生物培养设备是用蒸汽加热灭菌的,化学消毒杀菌剂只应用在少数场合。只有当设备或管路不能耐受高温时才使用化学消毒法或者辐射灭菌法。最常用的化学消毒剂是次氯酸钠。
P220超声波清洗是近年来使用较多的方法,它是利用换能器将功率超声频源的声能转换成机械振动并通过清洗槽壁向槽中的清洗液辐射超声波。
P220传统的清洗设备的方法是把设备拆卸下来用人工或半机械法清洗。但这有许多缺点,如劳动强度大、效率低,对操作工人的安全也不易保障,花费在清洗与装拆的时间长,且对产品的质量也易造成影响。
P220大规模的现代化生产已普遍采用CIP清洗系统(clean in place,即在位清洗),用机械装置使清洗剂在设备中循环,清洗过程可自动化或半自动化。
P223设备及管路的灭菌中,无论是工业化生产还是实验室研究,最普遍的灭菌方法是使用高温蒸汽灭菌方法。
P223设备及管路的灭菌中,灭菌效果的确认通常有两种方法:一是直接微生物培养法;另一种方法是间接的,即灭菌蒸汽的温度和压强监控法。
P226通常把 100 级称为无菌洁净区,10000 级称为洁净区,100000 级、300000 级称为控制区,并把洁净区置于控制区包围之中。
P228《药品生产质量管理规范》(1998)附录规定,“洁净室(区)在静态条件下检测的尘埃粒子数、浮游菌数或沉降菌必须符合规定,应定期监控动态条件下的洁净状况”。因此,洁净室(区)空气洁净度的测定要求为静态测试,动态监控。
P232医药工业用水可分为四类:第一类如井水、泉水;第二类如自来水;第三类一般在美国药典中称为“纯水”,它经过去离子化和超滤;第四类是注射用水。
P232生物安全包括两重意义:一是对操作者的安全;二是对环境保护而言的。
P232从事基因工程的工作室,美国的国立卫生研究所把它划分为四个级别,分别属“无感染可能”、“发病可能小”、“感染机会多但症状轻”和“易感染和症状重”四种性质。
P232在发酵过程中总会产生两种废物,即菌渣和废液(包括分离过程的废水),不但量大,其生物需氧量和化学需氧量均很高。
P232菌渣可用作饲料或进行焚烧,但必须谨慎。
P232发酵废液还残留一定的营养成分,因此可用来生产单细胞蛋白作为动物饲料。
P233有机溶剂的回收大多可采用简单蒸馏或精馏的方法。
大复习题:
第一章 P5 实罐灭菌操作过程
第二章 p22压缩空气预处理系统的设备流程图
第三章 P50中空纤维反应器 P50 微载体悬浮培养反应器应解决的三个关键问题 P52植物细胞悬浮培养的特性 P54搅拌功率计算的基本方程式、准数、实验条件 P69空气流量放大的方法、哪种合适、计算公式 P70搅拌功率及搅拌转速的方法方法、哪种最合适、公式
第四章 p93 板框压滤机的特点 p95真空转鼓过滤机的工作区 p96真空转鼓过滤机的优缺点 P97三足式离心机的优缺点 P101 卧螺离心机的特点
第六章 P138 混合床的操作 P141固定床的放大方法及计算公式
第七章 P145升降膜蒸发器图、工作原理、适用物料 P147刮板式薄膜蒸发器 结构特点、工作原理、缺点 P148离心薄膜蒸发器工作原理
第八章 P160湿-焓图的使用 P187喷雾干燥的优缺点 P205 蒸汽压缩制冷循环过程
计算题
第一章 P6 1-1 1-2 P9 1-3 P15 1-4
第二章 P20 2-1 P21 2-2 2-3 P22 2-4 P31 2-5
第三章 P57 3-1 P71 3-3
第四章 P95 4-3
第五章 P120 5-1
第六章 P143 6-3
第七章 P152 7-1
第八章 P161 8-1 P184 8-6
以下饱和蒸气压表可做参考,数据出自https://www.renrendoc.com/paper/141989984.html
2019A 动物细胞悬浮培养中使用气升反应器优点 体积排阻层析、亲和层析的原理、层析中需要检测的指标 降膜式长管蒸发器的工作过程 三足式离心机的优缺点 计算发酵罐内装培养基、不锈钢蛇管传热面积、加热时间和蒸汽用量
2019B 微载体悬浮培养的反应器应解决的关键问题 喷雾干燥的优缺点 常用的灭菌方法、培养基实罐灭菌 计算中试发酵罐KLa相同的原则放大100倍、求生产罐的主要尺寸及主要工艺操作条件:N2、 P2、(Pg)
2020A 发酵工厂压缩空气预处理系统的设备流程图 真空转鼓过滤机的三个工作区名称和工作原理 升膜式长管蒸发器的原理、适用范围 计算培养基连续灭菌系统理论灭菌时间、管式维持器灭菌时间
2020B 培养基实罐灭菌的操作过程 三足式离心机各部位的名称、优缺点 中试发酵罐以KLa相同的原则将其放大150倍、求生产罐的主要尺寸(罐径、搅拌器直径)及主要工艺操作条件
2021A 冷冻干燥的原理、优缺点 通用式生物反应罐中各字母代表、几何尺寸、比例关系 板框式压滤机的结构 计算放大后的交换罐中树脂床的体积、高度及直径
2021B 固定床放大的方式 板框式压滤机的特点 压缩空气预处理系统的设备流程 计算搅拌器所需功率、校正
SB2022A 混合床交换罐的操作过程 气升反应器的优点 计算单流升膜真空蒸发器蒸发器的传热面积(包括加热段面积和蒸发段面积、设计面积)和列管的根数与长度
SB2022B 离子交换操作?离子交换树脂的结构?固定床放大的原则 压缩空气预处理系统的设备流程 计算中试发酵罐放大64倍主要尺寸及主要工艺操作条件
2023A 机械搅拌发酵罐轴功率影响因素、准数关联式 真空转鼓过滤机的优缺点 空压机压缩空气相对湿度、露点、湿含量
2023B 卧螺离心机的特点 动物细胞微载体悬浮培养反应器、三个关键问题 干燥器出口空气的x2、空气用量L及预热器加入的热量Qp
2024A 植物细胞悬浮培养的特性 KLa相同的原则放大
2024B 中空纤维反应器 单流升膜真空蒸发器计算加热段面积